Question: 16. Find the Laplace transform of f (t)e”. 4! AFG)7 (s -7)4 (s -4) (s-5) B. F(s)- D. F(s) = 17. F…

Answered

}

May 26, 2023

Premium writer

Question

Question: 16. Find the Laplace transform of f (t)e”. 4! AFG)7 (s -7)4 (s -4) (s-5) B. F(s)- D. F(s) = 17. F…

by | May 26, 2023



Question: 16. Find the Laplace transform of f (t)e". 4! AFG)7 (s -7)4 (s -4) (s-5) B. F(s)- D. F(s) = 17. F...

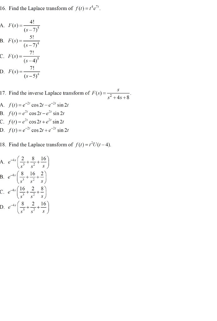
Show transcribed image text 16. Find the Laplace transform of f (t)e". 4! AFG)7 (s -7)4 (s -4) (s-5) B. F(s)- D. F(s) = 17. Find the inverse Laplace transform of F(s) A. f)e2 cos 2-e sin 2r B. f(r) = e', cos 21-e., sin 2, 18. Find the Laplace transform of f(1)=「U(1-4) A 4 2 8 16 B 16 2 8 2 16

16. Find the Laplace transform of f (t)e". 4! AFG)7 (s -7)4 (s -4) (s-5) B. F(s)- D. F(s) = 17. Find the inverse Laplace transform of F(s) A. f)e2 cos 2-e sin 2r B. f(r) = e', cos 21-e., sin 2, 18. Find the Laplace transform of f(1)=「U(1-4) A 4 2 8 16 B 16 2 8 2 16

HAVE A SIMILAR QUESTION?

Why Place An Order With Us?

  • Certified Editors
  • 24/7 Customer Support
  • Profesional Research
  • Easy to Use System Interface
  • Student Friendly Pricing

We Guarantee you

❖ Zero Plagiarism

❖ On-time delivery

❖ A-Grade Papers

❖ Free Revision

❖ 24/7 Support

❖ 100% Confidentiality

❖ Professional Writers

Get your assignments done 100% Original, Plagiarism Free, Customized to your instructions!

How it works

1. CLICK on the ORDER NOW button.

2. Paste your instructins in the instructions box. You can also attach an instructions file.

3. Select the writer category, deadline, education level and review the instructions.

4. Make a payment for the order to be assignment to a writer.

5. Download the paper after the writer uploads it.

Will the writer plagiarize my essay?

You will get a plagiarism-free paper and you can get an originality report upon request.

 

Is this service safe?

All the personal information is confidential and we have 100% safe payment methods. We also guarantee good grades.

Scriptalie